Imagine 25, fresco que la educación postsecundaria y mucho optimismo para comenzar su carrera, y luego escuche las palabras: "Tienes cáncer".
De repente, se enfrenta a un shock de salud inesperado que no solo amenaza su salud física, sino también su futuro financiero. La mayor parte de su tiempo ahora es un sentimiento que no se siente y viaja al hospital y desde el hospital para recibir tratamiento, mientras que sus amigos y colegas continúan construyendo una carrera.
Es una realidad para casi 1,2 millones de adolescentes y adultos jóvenes que han sido diagnosticados a Canak todos los años en todo el mundo, el número diseñado. Solo más de 9,000 adolescentes canadienses y adultos jóvenes, el cáncer anualmente y el 85 por ciento sobrevivirán a su enfermedad.
Y aunque la supervivencia es el objetivo principal, muchos no se dan cuenta de que ha habido un precio oculto que se extiende muy por encima de los costos médicos inmediatos.
Se estima que el golpe canadiense promedio afectado por el cáncer enfrenta $ 33,000 en costos de vida relacionados con su enfermedad, un total de $ 7.5 mil millones cada año para los pacientes y sus familias.
Pero recientemente descubrimos que un impacto verdaderamente económico en los adolescentes y los adultos jóvenes con cáncer a menudo es mucho mayor que los números anteriores y dura mucho más de lo que se ha reconocido previamente.
Castigo financiero de supervivencia
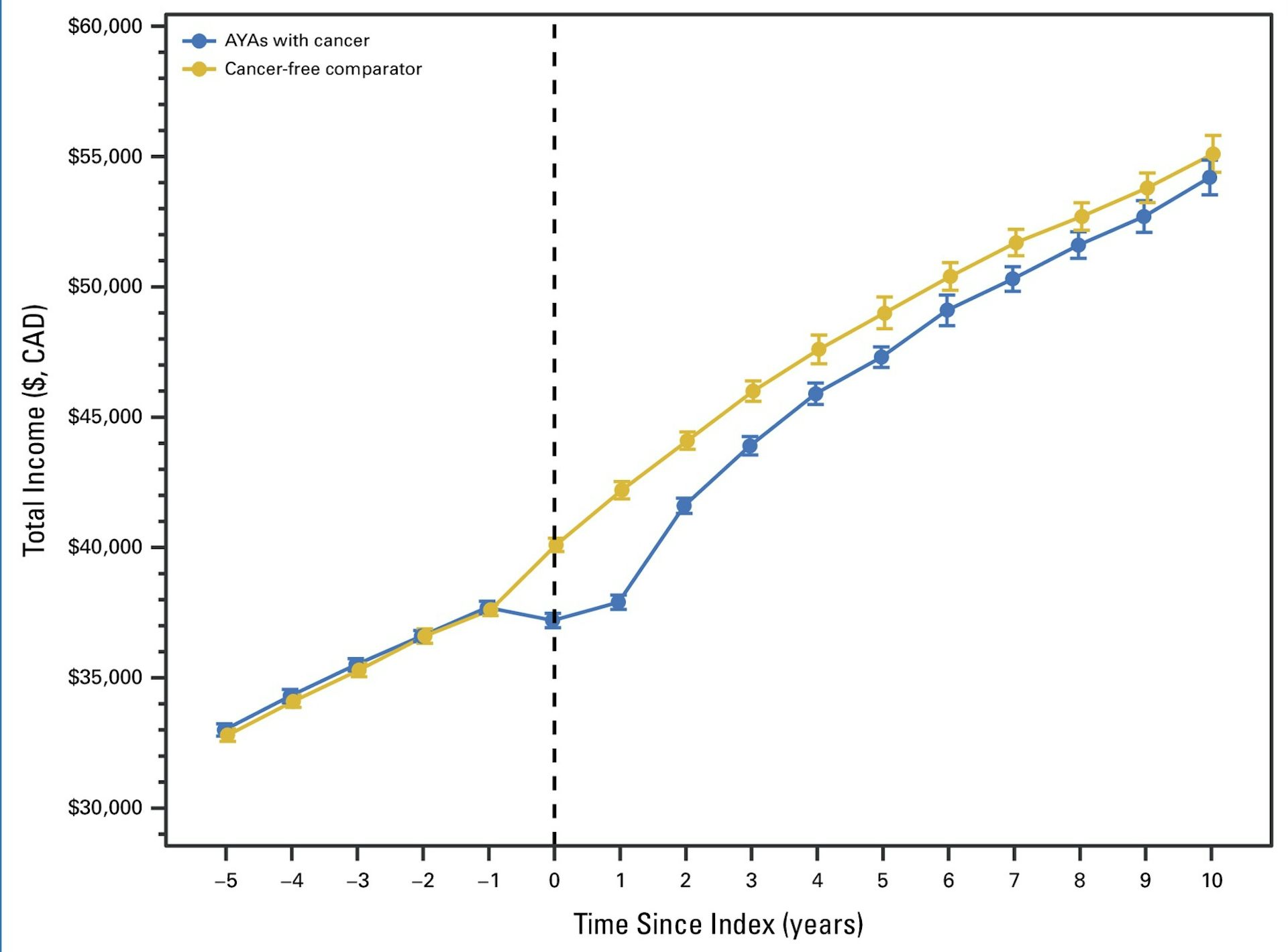
Comparamos a los 93,325 adolescentes canadienses y jóvenes diagnosticados con cáncer y 765,240 personas similares que no experimentaron cáncer y revelan que los sobrevivientes conducen a ingresos reducidos a largo plazo, lo que puede durar toda su vida.
En promedio, el diagnóstico de cáncer da como resultado más del cinco por ciento de la reducción de las ganancias durante el período de 10 años después del diagnóstico.
Como se esperaba, la pérdida de ingresos es más pronunciada inmediatamente después del diagnóstico, y los sobrevivientes ganan 10 a 15 por ciento menos en los primeros cinco años.

Los ingresos promedio de los jóvenes canadienses fueron diagnosticados con cáncer en comparación con las personas sin cáncer. La línea intermitente representa el año del diagnóstico de cáncer. (Di Giuseppe et al. / Walters Kluver Health), proporcionado por el autor (sin uso)
Sin embargo, estos costos de supervivencia ocultos no son los mismos para todos, y el peaje financiero varía en gran medida dependiendo del tipo de cáncer. Por ejemplo, el cáncer de cerebro sobreviviente ve que el ingreso anual promedio disminuye en más del 25 por ciento. Esta es una carga financiera devastadora, y la que dura.
Los efectos de la vida real son desconocidos, pero no es difícil imaginar cómo este rendimiento financiero puede dejar completamente el futuro financiero de una persona joven.
¿Por qué el cáncer cuesta más sobrevivientes?
Adolescentes y adultos jóvenes que sobrevivieron a las experiencias de la "toxicidad financiera" del cáncer relacionadas con los costos directos del cáncer, como los costos de tratamiento o los medicamentos y los costos indirectos, como la capacidad de trabajo reducida, la licencia por enfermedad extendida y la pérdida de empleo.
Más de un tercio de los pacientes jóvenes con cáncer informan toxicidad financiera.
Muchos sobrevivientes experimentan efectos físicos y cognitivos desfavorables permanentes que limitan el funcionamiento diario.
Incluso en el sistema canadiense de salud universal, que no requiere el pago de cáncer, muchos canadienses más jóvenes no pueden trabajar y deben confiar en los miembros de la familia para obtener apoyo financiero.
La influencia en la capacidad de trabajo es significativa para los adolescentes y los adultos jóvenes que simplemente comienzan la carrera, causando años críticos de desarrollo profesional durante el tratamiento y la recuperación que pueden tener efectos económicos en cascada.
Estos desafíos eventualmente pueden conducir a inestabilidad financiera y dificultad.

Los jóvenes ingresan al mercado incierto en 2025. Años (Neplash / Saul Mohan) Precio salarial
Además de las dificultades individuales, el tema de la inestabilidad financiera entre la supervivencia de cáncer joven se convierte en un desafío social más amplio.
En 2025. El cáncer de sobrevivientes canadienses jóvenes ingresa a la economía con el mercado laboral adverso y el creciente desempleo de los jóvenes, así como la brecha entre los salarios y la accesibilidad de los apartamentos. El crecimiento de la inflación y la no interesante general también fortalecen las dificultades financieras de los jóvenes sobrevivientes canadienses de caras de cáncer, al final de que la recuperación financiera es más desafiante.
El ingreso es el determinante social básico de la salud, y las desigualdades financieras pueden extender las diferencias de salud en los sobrevivientes de cáncer después del tratamiento.
Los pacientes se ven obligados a ejecutar opciones financieras, como agotar sus ahorros y con la extensión de la deuda.
Política
Cancer Cancer Report 2024. Hace que enfatiza la urgencia de los sistemas de apoyo para resolver el bienestar financiero después del cáncer.
Basado en nuestra investigación, que evalúa la vida financiera de los adolescentes y jóvenes sobrevivientes de cáncer, tenemos algunas recomendaciones para los responsables políticos canadienses, las empresas y los proveedores de atención primaria.
Kymoders of Cymoding debería:
Cree tarifas para el seguro de empleo que un mejor apoyo sobrevivió después del tratamiento. Proporcionar créditos fiscales para grupos de sobrevivientes de cáncer afectó desproporcionadamente la toxicidad financiera, como el cáncer cerebral.
Los proveedores de atención primaria deben:
Incluya asesoramiento para la navegación financiera en su atención al cáncer. Proporcionar recursos para navegar en programas de seguros y asistencia financiera. Pantalla de rutina para la toxicidad financiera como parte del cuidado de los sobrevivientes.
Los empleadores deben:
Los jóvenes sobrevivientes de cáncer ya se han enfrentado a una vida de los desafíos más difíciles. No deberían tener que luchar contra la inseguridad financiera.
Al reconocer que la supervivencia comienza con el diagnóstico de cáncer, debemos expandir la conversación sobre el cuidado del cáncer fuera de lo económico clínico.
0 Comentarios